二进制移频键控
本页面主要介绍二进制移频键控的定义、性质和解调方式。
定义
用二进制数字基带信号去控制正弦载波的载频称为二进制移频键控(2FSK)。此时,对应于传号与空号的载波频率分别为 f1 及 f2。
由于 2FSK 信号波形的相位关系,2FSK又可分
为相位不连续及相位连续的移频键控。通常采用相位连续的移频键控,波形更加平滑,高频分量更少。
相位连续的 2FSK 信号:
将二进制数字信号对单一的载频振荡器进行调频,可得到相位连续的2FSK信号,如下图所示

相位连续的 2FSK 信号表示式为
\[
\begin{aligned}
s_{\mathrm{FSK}}(t)&=A\cos[\omega_{\mathrm{c}}t+2\pi K_{\mathrm{f}}\int_{-\infty}^{t}b(\tau)\:\mathrm{d}\tau] \\
&=\operatorname{Re}[v(t)\operatorname{e}^{\operatorname{j\omega}_{\operatorname{c}}t}]
\end{aligned}
\]
复包络
\[v(t)=A\mathrm{e}^{\mathrm{j}\theta(t)}\]
其中
\[\theta ( t) = 2\pi K_{\mathrm{~f}}\int _{- \infty }^{t}b( \tau )\mathrm{d}\tau\]
\(K_{\text{f}}\) 是调频器的频率偏移常数,\(b(t)\)是双极性不归零码序列。
由于 \(\theta(t)\) 是 \(b(t)\) 的积分,所以相位 \(\theta(t)\) 是连续的。
矢量表示
前置知识:波形的矢量表示
正交 2FSK 信号表示式为
\[s_i(t)=\sqrt{\frac{2E_\mathrm{b}}{T_\mathrm{b}}}\cos\omega_i(t)\quad i=1\text{或2;}\quad0\leqslant t\leqslant T_\mathrm{b}\]
式中 \(\omega _i= \dfrac {2\pi ( k+ i) }{T_\mathrm{b} }\),k 为某固定的正整数
2FSK 的互相关系数
\[\rho_{12}\:=\:\frac{1}{E_{\mathrm{b}}}\:\int_{0}^{T_{\mathrm{b}}}s_{1}\:(t)\:s_{2}\:(t)\:\mathrm{d}t=0\]
所以,\(s_1(t)\) 与 \(s_2(t)\) 正交。两个归一化正交基函数为
\[f_{1}\left(t\right)=\sqrt{\frac{2}{T_{\mathrm{b}}}}\cos\omega_{1}t\quad0\leqslant t\leqslant T_{\mathrm{b}}\\f_{2}\left(t\right)=\sqrt{\frac{2}{T_{\mathrm{b}}}}\cos\omega_{2}t\quad0\leqslant t\leqslant T_{\mathrm{b}}\]
2FSK 信号的正交展开式
\[s_i(t)=\sum_{n=1}^2s_mf_n(t)=s_{i1}f_1(t)+s_{i2}f_2(t)\quad i=1\text{或2}\]
\[s_{in}=\int_0^{T_b}s_i\left(t\right)f_n\left(t\right)\mathrm{d}t\quad n=1\text{ 或 2}\]
\[\begin{aligned}&i=1\:,n=1\:,s_{11}=\sqrt{E_{\mathrm{b}}}\:;\quad i=2\:,n=1\:,s_{21}=0\:;\\&i=1\:,n=2\:,s_{12}=0\:;\quad i=2\:,n=2\:,s_{22}=\sqrt{E_{\mathrm{b}}}\end{aligned}\]
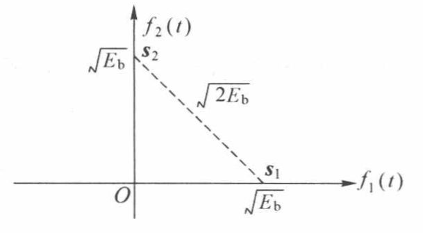
正交 2FSK 信号的二维矢量表示为
\[s_1=\begin{bmatrix}s_{11},s_{12}\end{bmatrix}=\begin{bmatrix}\sqrt{E_{\mathrm{b}}},0\end{bmatrix}\]
\[s_2=\begin{bmatrix}s_{21},s_{22}\end{bmatrix}=\begin{bmatrix}0,\sqrt{E_{\mathrm{b}}}\end{bmatrix}\]
正交 2FSK 信号波形的信号空间图如下图所示。

信号波形 \(s_1(t)\)的能量为 \(E_{\mathrm{l}}=E_{\mathrm{b}}\),信号波形 \(s_2(t)\)
的能量为 \(E_{2}=E_{\mathrm{b}}\)。
两信号矢量之间的欧氏距离为
\[d_{12}=\mid s_1-s_2\mid=\sqrt{2E_\mathrm{b}}\]
性质
两个波形间的互相关系数
2FSK 两信号波形 \(s_1(t)\) 与 \(s_2(t)\) 之间的归一化互相关系数是
\[\rho_{12}\:=\:\frac{1}{E_{\mathrm{b}}}\:\int_{0}^{T_{\mathrm{b}}}s_{1}\:(t)\:\cdot\:s_{2}\:(t)\:\mathrm{d}t\]
其中 \(E_\mathrm{b}=\frac{A^{2}}2T_\mathrm{b}\),是平均比特能量。
将 \(s_1(t)\) 及 \(s_2(t)\) 表示式代入(设 \(A=1\)),得到
\[\begin{aligned}\rho_{12}&=\frac{2}{T_{\mathrm{b}}}\int_{0}^{T_{\mathrm{b}}}\left[\cos(\omega_{\mathrm{c}}t+\Delta\omega t)\cdot\cos(\omega_{\mathrm{c}}t-\Delta\omega t)\right]\mathrm{d}t\\&=\frac{1}{T_{\mathrm{b}}}\int_{0}^{T_{\mathrm{b}}}(\cos2\Delta\omega t+\cos2\omega_{\mathrm{c}}t)\:\mathrm{d}t\\&=\mathrm{Sa}(2\Delta\omega T_{\mathrm{b}})+\mathrm{Sa}(2\omega_{\mathrm{c}}T_{\mathrm{b}})\Delta\omega=2\pi\Delta f\end{aligned}\]
其中,\(\Delta f\) 表示 2FSK 信号中的 \(f_1\) 或 \(f_2\) 相对于中心频率 \(f_c\) 的频率偏移。
一般,可满足 \(2\omega_\mathrm{c}T_\mathrm{b}{>>1}\) 的条件,则上式中的第二项近似为 0,所以
\[\rho_{12}\approx\mathrm{Sa}(2\Delta\omega T_{\mathrm{b}})=\mathrm{Sa}[2\pi(2\Delta f)T_{\mathrm{b}}]\]
互相关系数与 \(\Delta f\) 关系:

2FSK 的两信号之间的互相关系数是两载频的频率间隔(\(f_1-f_2=2\Delta f\))的函数。在 \(\rho_{12}=0\) 时,表示 \(s_1(t)\) 与 \(s_2(t)\) 正交,此时的两载频的最小频率间隔为
\[f_1-f_2=\frac1{2T_\mathrm{b}}\]
功率谱密度及其信号带宽
若要计算 2FSK 信号的平均功率谱密度,首先要解决复包络 \(v(t)\) 的平均功率谱密度的计算问题。由于 2FSK 信号的复包络是二进制数字基带信号 \(b(t)\) 的非线性函数,所以该复包络的平均功率谱密度计算非常复杂,在此不予推导。
据分析,连续相位 2FSK 信号的平均功率谱密度随着频率 \(f\) 偏离 \(f_{\mathrm{c}}\),其旁瓣按 \(1/f^4\) 衰减,而相位不连续 2FSK 信号的功率谱旁瓣按 \(1/f^2\) 衰减,前者的旁瓣衰减速度快,所以常用连续相位的 2FSK 调制方式。
2FSK 信号的近似带宽由卡松公式给出
\[B_{\mathrm{FSK}}\approx2\Delta f+2B\]
式中 \(B\) 是数字基带信号带宽。假设以数字基带信号功率谱密度的主瓣宽度为带宽 \(B\),则
\(B=R_{\mathrm{b}}\)。式中的 \(\Delta f\) 是调频器的频偏(\(f_1-f_2=2\Delta f\))。于是,2FSK 信号的近似带宽是
\[B_{\mathrm{FSK}}\approx2\Delta f+2R_{\mathrm{b}}=2(\Delta f+R_{\mathrm{b}})\]
解调
相干解调

上图中两种表示图例完全等效。
假设 \(s_1(t)\)与 \(s_2(t)\)正交,并等概出现。注意到图中的两个支路与OOK 相关解调类似,故类似的,两个采样值可以表示为
\[\begin{cases}y_1=aE_\mathrm{b}+Z_1\\y_2=(1-a)E_\mathrm{b}+Z_2\end{cases}\]
其中 \(E_\mathrm{b}\) 是比特能量,\(a=1\) 或 0 对应发送 \(s_1(t)\) 或 \(s_2(t)\)。\(Z_1,Z_2\) 是高斯白噪声与 \(s_1(t),s_2(t)\) 的内积。\(Z_1\)、\(Z_2\) 是独立同分布的零均值高斯随机变量,方差均为 \(N_0E_{\mathrm{b}}/2\)。
判决器的输入是
\[l=y_1-y_2=dE_b+Z\]
其中 \(d=1\) 对应发送 \(s_1(t),d=-1\) 对应发送\(s_2(t)\)。\(Z=Z_1-Z_2\) 是均值为零,方差为 \(\sigma^2=N_0E_b\) 的高斯随机变量。
发送 \(s_2(t)\) 时判决出错的概率是
\[P(e\mid s_1)=P(Z>E_b)=\frac12\mathrm{erfc}\Big(\sqrt{\frac{E_b}{2N_0}}\Big)\]
根据对称性可知 \(P(e|s_2)=P(e|s_1)\)。平均误比特率为
\[P_\mathrm{b}=\frac12\mathrm{erfc}\left(\sqrt{\frac{E_\mathrm{b}}{2N_\mathrm{o}}}\right)\]
非相干解调

当 \(s_1(t),s_2(t)\) 中包含接收机未知的相位时,可以采用上图所示的非相干解调。此图中的两个支路相当于是两个 OOK 的非相干解调。在 \(s_1(t)\)、\(s_2(t)\) 等概率出现的条件下,非相干解调的平均误比特率为
\[P_\mathrm{b}=\frac12\exp\left(\frac{-E_\mathrm{b}}{2N_0}\right)\]
误比特率曲线如下:
